中文| English
上海青越软件有限公司
您当前所在位置 >> 首页 >> CAT >> 当前页面

基于蒙特卡罗仿真和遗传算法的公差设计

        第1章 绪论
        1.1. 引言
        计算机的产生,是人类技术发展史上的重大进步。七十年代以来,随着计算机技术的迅速发展和广泛应用,传统的机械制造业发生了一场深刻的革命。它从根本上改变了过去的生产技术和管理技术,传统的生产设备和单一产品的自动化制造系统已被计算机控制机床、柔性制造单元和系统所代替,由原来的局限于产品制造自动化发展到集产品设计过程、生产过程和经营为一体的自动化系统,这就为计算机集成制造系统(CIMS: Computer Integrated Manufacturing System)的产生创造了条件。

        1973年,美国的 Joseph Hamngton博士在其《Computer Integrated Manufactunng》一书中首次提出了CIMS的概念。CIMS是结合了系统工程、管理科学、计算机和机械制造等各领域的科学成果,将制造企业的全部生产活动所需的各种分散自动化系统有机地集成,形成了一个包括市场分析、生产决策、设讣开发、工艺规划、产品制造、产品装配、销售经营的计算机化控制网络,具有统一的信息管理和控制的系统。它的出现立即引起了各国工程界的广泛关注和重视,发展极为迅速。我国根据世界高技术发展趋势,己把 CIMS作为高技术研究发展计划的主题项卧。

        日前,CIMS和CAD/CAM己取得了重大的突破和引人注目的成就,但是作为机械产品设计和制造过程中的一项重要内容,机械零件的设计公差和工序公差的设计远远落后于CAD/CAM的发展。在国外,己有许多学者开展了计算机辅助公差设计(CAT:Computer-Aided Tolerancing)的研究,但尚未达到完全实用的程度,如 IDEAS等软件中己出现公差分析模块,但仅能作公差分析之用。在国内,计算机辅助公差设计的研究起步较晚,九十年代以后浙江大学、重庆大学、哈尔滨工业大学进行了CAT的研究。

        鉴于计算机辅助公差设计的现状,杨叔子院士指出:“众所周知,公差设计在机械产品设计中占有重要的地位,但公差分析和设计的研究远远落后于CAD、CAPP、CAM自身的研究,使其无法与目前的CAD/CAM集成、CIMS的发展相适应,从而己成为制约它们进一步发展的一大关键所在。国内外许多学者均有上述相同看法,指出CAT在CAD/CAM集成中的重要性。国际生产工程学会CIgy原主席RWeill曾撰文指出:“ CAD/CAM信息集成主要是公差信息集成,如不加以解决,CAD/CAM集成就难以实现”。由此可见, CAT是 CAD/CAM集成中的一大关键技术,是国内外先进制造技术发展中急需解决的问题。

        1.2.CAT的研究进展
        1978年,英国剑桥大学的R.C.Hillyard博士在其博士论文《形状设计中的尺寸和公差》中提出利用计算机辅助确定零件的几何形状、尺寸、和形位公差的概念,提出用数学方程式描述零件的集合形状,并以此来进行零件的尺寸和公差设计。同年,丹麦的O.Bjorke教授发表专著《计算机辅助公差(Computer Aided Tolerancing)》,提出利用计算机化的尺寸链进行设计和制造公差的控制。这两个人奠定了CAT的基础,是CAT技术发展的开端。

        1983年,A.A.G.Requicha发表《几何公差理论基础》一文,提出漂移公差带理论,奠定了计算机辅助公差设计的理论基础。1984年,Karolin在美国制造工程协会召开的AUTOFACT6上发表的《计算机辅助公差分析》一文,首次实现了用计算机表达和分析“公差图”,并完成工艺规程中的公差设计。同年,CAM-I发表研究报告《尺寸和公差设计》,提出在计算机表达尺寸和公差的方法。1987年,美国的Turner博士发表其博士论文《计算机辅助几何设计中的公差问题》,建立了一套具有实用意义的公差数学理论和公差分析方法。 1988年,Weill教授在国际生产工程协会年会上发表关键论文《面向功能的公差设计》,它标志着计算机辅助公差设计史上的一个转折点,从而掀起了计算机辅助公差设计的研究热潮。这一时期的研究工作已涉及到公差设计的各个领域,形成了比较系统的CAT理论。
随着CAD/CAM技术的进展,计算机辅助公差设计技术的重要性已有了普遍的认识。从1988年,计算机辅助公差设计的研究进入它的大发展时期,有关公差设计的学术论文大量出现。美国机械工程师学会和国际生产工程协会也开始组织各种公差专题讨论会,并从1988年起美国机械工程师学会的年会中都设有公差设计学术专题研讨会。CIRP自1989年以来每隔一年组织一次国际性的公差设计专题学术会议,而且每次会议均有其主题,集中了当前CAT研究的最新发展动态。美国机械工程师学会和美国国家标准化研究所也联合召开了多次有关公差色痕迹的学术会议。近十多年来,国际上有关公差研究的出版物(专著,学术论文,博士论文,科技报告等)也呈递增趋势,出现了不少新理论和新方法。一些著名的CAD/CAM软件,如IDEAS,PRO/E,UG等也都增加了专门的公差分析模块。

        1.3.CAT的研究现状
        计算机辅助公差设计自1978年由O.Bjorke提出以后,已经经历了二十多年的历史,国内外学者在计算机辅助公差分析与综合、公差建模与表示、并行公差设计等方面做了系统深入的研究,取得了丰硕的研究成果。目前,这方面的研究正朝着以下几个方面发展:
        (1)计算机辅助公差建模理论、方法和表示
公差模型有数学模型和表示模型两大部分。公差数学模型是只对公差语义的数学描述;公差表示模型是指对数据模型在计算机中建立相应的表示方式,是以一种数据结构形式存在的。        1983年Requicha提出一基于漂移(offsetting)的点集数学模型,引入变动族形成漂移带即公差带,用几何概念统一了不同的公差类型,通过漂移可以定义相应的尺寸及形状、位置公差带,成为计算机公差建模的理论基础。在此基础上,Jayarman和Srinivasan等于1989年,用边界的概念替代了公差带,发展了虚拟边界表示法VBRs (Virtual Boundary Requirements), 它是公差带向实际应用中的一种转化。但是它和前者一样,所确定的公差偏严。此后Etesmi将Requicha的模型形式化,用公差规范语言 ( Tolerance Specifucation Language, TSL) 来描述公差,并提出了一些公差具体应用的有关概念。
公差表示模型主要有漂移几何和基于数据结构的模型。漂移集合模型是基于漂移公差带理论的,如V-GRAPH图(Requicha),是在CSG树上表示公差。基于数据结构的模型则有:基于B-Req数据结构的计算机表示;结构变动几何表示;混合B-Req和CSG树表示;基于特征建模的分层公差建模系统等。

        (2)计算机辅助公差分配和分析
        公差分配(Tolerance Distribution)就是已知封闭环公差,按照一定的方法和约束条件,优化分配各组成环的公差,也称为公差设计(Tolerance Design)或公差综合(Tolerance Synthesis)。公差分析是指已知尺寸链中各组成环公差,分析封闭环公差是否满足预定的精度要求。
        传统的公差设计有两种不同的方法:第一种方法是极值法,它认为封闭环的公差是各组成环的公差之和,这样必然导致了各组成环的公差相对较紧的情况,造成成本不必要的偏高;另一种方法是从统计学的观点出发,根据加工尺寸的分布规律,利用概率论,求解确定公差。极值法由于其不可克服的缺点,已较少使用,现在的公差分配基本上是以第二种方法为基础。Mitchell和Siddall提出了一种“矢量空间”的方法进行公差综合;Parkson从统计公差的角度出发,提出了统计公差分配的观点,而L.Panchal和S.Raman等提出了基于规则的公差分配方法。

        (3)公差—成本函数的研究
        公差设计的目的是在满足装配要求的前提下,使成本最小。因此公差成本函数得到了广泛的研究,提出了多种不同的成本和公差数学模型,比较成熟的有:指数模型,负平方模型,倒数幂指数模型,多项式模型,复合模型,改进指数模型和神经网络模型等。这些模型的共同点是:在某一特定的加工环境下,采集足够的公差成本的统计数据,然后用最小二乘法来确定模型中的参数。显然,这种做法是难以实现的,因为成本公差数据在实际生产中难以收集,同时这种费用也是不切实际的。因此进行面向制造环境的成本-公差模型的研究非常必要。

        1.4.本文主要思想
        对生产零件来说,好的尺寸公差规范正被认为是工业生产中提高生产效率的关键因素。在这个领域中,很小的进步都能节约大量的投资。通常产品公差与产品设计和产品生产的关系可以用下面的图表示(图1):

        工程师了解在装配过程中公差的积累控制设计过程中的临界消除和冲突,如润滑路径或者轴承数,并且这些影响着产品的性能。 而生产人员关心的是过紧的公差增加了产品的成本,同时公差也对生产规划和处理工艺的选择以及最终产品的装配都有很大的影响。因此公差规范是工程设计和生产制造之间的重要联系。它能成为建立两者之间接口的重要场所,提高产品竞争力的重要手段。
        然而,设计者经常随意地分配公差,或者仅仅根据并不充分的数据或者并不完善的模型来作出给定公差。如果在产品的设计和生产的各个环节中引起的任何问题,公差都必须重新设计。很明显,今天的高技术产品和正在增长的国际竞争需要基于现实模型的有见识的设计决策。因此下面两个与公差规范相关的问题的重要性被突现出来:

        3. 作为公差设计工具,那些公差分析模型同时具有现实性和实用性?

        4. 高级的统计和优化方法在公差设计中扮演什么样的角色?
        对与第一个问题,我们选择蒙特卡罗仿真(MCS, Monte Carlo Simulation)作为公差分析模型(Tolerance Analysis Model)。MCS技术是在解决公差问题中最流行的工具,事实上,MCS的吸引力在于他的实用性和无精度限制。特别是MCS能够用在大多数的工业设计问题中,具有广泛的实用性。所以MCS是既具有现实性又具有实用性的分析工具。
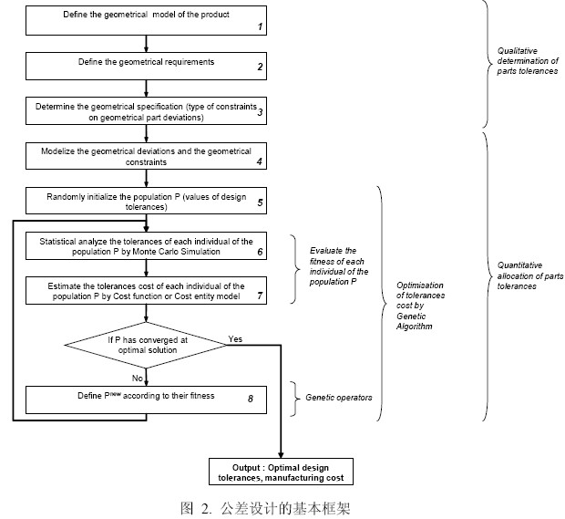
        此外,我们认为优化方法在公差设计中扮演着重要的角色。公差设计问题通常被认为是一个优化问题:目的是寻找在质量风险和生产成本之间的最佳平衡。评估质量风险,生产成本和较好的优化算法是公差设计的重点。在下面的公差设计框架中,我们采用遗传算法(GA,Genetic Algorithms) ,一种基于生物进化原理的随机迭代算法,作为公差设计的优化算法。同时为了更好的整合到本框架中,我们对该算法做了一些有意义的改进。

        1.5.本文的组织
为了更容易理解本文,在接下来的第二章中我们将介绍公差设计的基本概念和步骤。在第三章中,MCS在被详细描述和分析,并为了在公差优化中对遗传算法进行改进,我们在这一章中将通过一个实验来具体分析MCS的特点。作为优化工具,遗传算法将在第四章中讨论。最后我们将在第五章中给出详细的公差设计框架,并通过两个工业设计实例来分析和验证这个框架。

        第2章 公差设计基础
        2.1.公差设计的基本概念
        定义1 公差 零件尺寸和几何参数的允许变动量称为公差。尺寸和公差的标准中,介绍了两种类型的公差:尺寸公差和形位公差,形位公差包括形状公差(如直线度、平面度、圆柱度等)、定向公差(如平行度、垂直度等)、定位公差(如位置度、同轴度等)和跳动公差(如圆跳动)等。
        定义2 公差链 在机器装配或零件加工过程中,由相互连接的尺寸形成的封闭的尺寸组称为公差链,也称尺寸链。它具有以下两个基本特性:l封闭性:该尺寸组中全部尺寸依次连接构成封闭形;2公差与偏差的内在联系:该尺寸组成中所有独立尺寸的变动都直接影响某一尺寸。
        定义3 链环 公差链中的每个基本尺寸称为链环。链环又分为封闭环和组成环。封闭环是指尺寸链中在装配过程或加工过程最后自然形成的一环。组成环是指尺寸链中对封闭环有影响的全部环,在其它组成环不变的情况下,这些环中任意一环的变动必然引起封闭环的变动。
        定义4 公差表示 是指在计算机中对某一实体模型或特征模型进行准确无误的公差表述。它不仅要支持公差数据的存储,而且更要对公差的语义进行支持。
        定义 5 公差设计 公差设计(Tolerance Design)则包括公差的分析和综合,是根据已知封闭环的上、下偏差求解各组成环尺寸的上、下偏差和根据各组成环尺寸的上、下偏差求解封闭环的上、下偏差。公差设计是建立在公差设计函数的基础之上的。所谓公差设计函数(Tolerance Design Function)就是指装配技术要求、产品的功能要求等与有关尺寸之间的函数关系,如孔轴配合件的配合间隙等的数学表示。
        定义 6 公差分析 公差分析(Tolerance Analysis),也叫做公差的验证(Tolerance Verification)就是指己知各组成环的尺寸和公差,确定最终装配后需保证的封闭环公差。
        定义 7 公差综合 公差综合(Tolerance Synthesis)也叫公差分配(Tolerance Allocation),是指在保证产品装配技术要求下规定各组成环尺寸经济合理的公差。

        2.2.几何建模
        几何建模是公差分析和综合的基础,它的目的是为了描述机械的功能需求和装配需求,并且对公差进行约束。它通常分为三个步骤:
        (1). 选取几何描述变量
几何行为模型首先需要知道在零件各个表面之间可能产生的偏差,并且对他们进行描述。通常这些偏差分为三类:
- 偏移(deviations):主要用来描述在实际表面和理论表面之间的尺寸偏差。
- 间隙(gaps):主要用来描述两个相对表面之间的方向和位置的偏差。
- 功能特征(functional characteristics):主要描述两个表面在功能关系上的方向和位置的偏差。
偏移、间隙和功能特征统称为链环,其中偏移和间隙为组成环,而功能特征通常是封闭环。

        (2). 几何行为描述
        公差分析的数学公式是基于机械的几何行为的。机械的几何行为能通过各种方程和不等式来定义:
- 约束零件的偏移、间隙和功能特征的方程
在各种拓扑环中的几何变量的复合关系被用于描述机械的几何行为。这种复合方程定义了偏移和间隙间的一致性方程[Ballu, 2000 ; Soderberg, 2001 ; Dantan, 2005; Ballot, 1997]。这组一致性方程方程构造了一个线性方程系统。因此,为了这组方程有解,必须检查它们的一致性。这些方程构成了一致性壳:Hcompatibility
- 约束间隙的不等式和等式
机械的装配需求通常用间隙约束[Ballu, 2000; Fleming, 1987; Giordano,1993; Robinson 1998; Teissandier, 1999; Voelcker, 1998; Dantan, 2005]来表示,因此这组等式和不等式用来描述机械的装配需求,它导出了装配壳:HAR
- 约束功能特征的不等式
这组不等式[Giordano,1993; Voelcker, 1998; Dantan, 2005; Roy, 1999]用来描述机械的几何需求(GR, geometrical requirement),限制表面间的方向和定位。它们导出了集合需求壳:HGR.
- 约束零件的偏移的不等式
这些约束导出规范壳:Hspecif .

        (3). 建立公差分析的数学模型:
        根据上面的不等式和方程组就可以建立一个公差分析的数学模型。

        2.3.公差分析
        每一种产品或部件根据其使用要求总要提出若干精度指标或技术条件。在设计过程中通过分析产品的装配尺寸链,从产品内部各零部件之间错综复杂的尺寸联系中,查明对此精度指标或技术条件有直接影响的全部尺寸,并根据这些尺寸的公差及其统计参数,按照一定的置信水平,决定封闭环尺寸的变动极限值,这个过程就称为公差分析。

        2.3.1. 极值法
        2.3.1.1. 极值法计算公差主要适用于:
        (a)要求保证完全互换、公差等级较高、组成环环数较少的尺寸链,如孔与轴的配合等。
        (b)要求保证完全互换、公差等级中等、组成环环数较多的尺寸链,如枪械等一般军工产品。

转自:互联网

My JSP 'RightDH.jsp' starting page

青越锋公司简介        教程下载

青越锋软件简介        客户服务

PDF及视频下载        技术问答

青越软件使用技巧

新闻发布    行业动态    论坛

CAE   CAD    CAM   DFM

DFT   CAT   电子元件

                         
                         
      copyright ©2008-2009 上海青越软件有限公司 All  rights  reserved    沪ICP备20021564号
             关于青越 | 联系我们 | 友情链接 | 工作机会 | 刊登广告 | 客户服务